Topological Sorting
LintCode-127.Topological Sorting
Given an directed graph, a topological order of the graph nodes is defined as follow:
For each directed edge A -> B in graph, A must before B in the order list.
The first node in the order can be any node in the graph with no nodes direct to it.
Find any topological order for the given graph.
Notice
You can assume that there is at least one topological order in the graph.
Clarification
Learn more about representation of graphs
Example
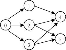
For graph as follow:

The topological order can be:
[0, 1, 2, 3, 4, 5]
[0, 2, 3, 1, 5, 4]
Challenge
Can you do it in both BFS and DFS?
BFS
/**
* Definition for Directed graph.
* class DirectedGraphNode {
* int label;
* ArrayList<DirectedGraphNode> neighbors;
* DirectedGraphNode(int x) {
label = x;
neighbors = new
ArrayList<DirectedGraphNode>();
}
* };
*/
public class Solution {
/**
* @param graph: A list of Directed graph node
* @return: Any topological order for the given graph.
*/
public ArrayList<DirectedGraphNode> topSort(ArrayList<DirectedGraphNode> graph) {
ArrayList<DirectedGraphNode> result = new ArrayList<DirectedGraphNode>();
Map<DirectedGraphNode, Integer> map = new HashMap<>();
for (DirectedGraphNode node : graph) {
for (DirectedGraphNode neighbor : node.neighbors) {
if (map.containsKey(neighbor)) {
map.put(neighbor, map.get(neighbor) + 1);
} else {
map.put(neighbor, 1);
}
}
}
Queue<DirectedGraphNode> queue = new LinkedList<>();
for (DirectedGraphNode node : graph) {
if (!map.containsKey(node)) {
queue.offer(node);
result.add(node);
}
}
while (!queue.isEmpty()) {
DirectedGraphNode node = queue.poll();
for (DirectedGraphNode neighbor : node.neighbors) {
map.put(neighbor, map.get(neighbor) - 1);
if (map.get(neighbor) == 0) {
result.add(neighbor);
queue.offer(neighbor);
}
}
}
return result;
}
}
DFS
public class Solution {
/**
* @param graph: A list of Directed graph node
* @return: Any topological order for the given graph.
*/
public ArrayList<DirectedGraphNode> topSort(ArrayList<DirectedGraphNode> graph) {
if (graph == null || graph.size() == 0) {
return new ArrayList<DirectedGraphNode>();
}
ArrayList<DirectedGraphNode> result = new ArrayList<>();
Set<DirectedGraphNode> visited = new HashSet<>();
for (DirectedGraphNode node : graph) {
if (!visited.contains(node)) {
topSortHelper(node, visited, result);
}
}
return result;
}
void topSortHelper(DirectedGraphNode node,
Set<DirectedGraphNode> visited, ArrayList<DirectedGraphNode> result) {
visited.add(node);
for (DirectedGraphNode neighbor : node.neighbors) {
if (!visited.contains(neighbor)) {
topSortHelper(neighbor, visited, result);
}
}
result.add(0, node);
}
}
Hope this helps,
Michael